Can I use an architect from another state?
Architects with a license in another state of the US can pursue Licensure by Reciprocity. You must be licensed in California in order to practice architec...
Architects with a license in another state of the US can pursue Licensure by Reciprocity. You must be licensed in California in order to practice architec...
Vesting Age This is the age when you begin to receive the monthly pension. For instance, most pension plans keep their minimum vesting age at 45 years or ...
Do I need to be registered as a company to be GST-registered? No. You can register for GST as an individual contractor, freelancer or sole trader – there ...
Process STEP 1 – SUBMIT INCORPORATION ORDER FORM FOR BVI COMPANY INCORPORATION. Please provide us your email address in the package details and we will em...
When you leave, your stock options will often expire within 90 days of leaving the company. If you don’t exercise your options, you could lose them. What ...
Call the 1-800 number on the back of the cardholder’s card and typically provide the following: The cardholder card and transaction details. Merchant ID N...
Your vested balance is the amount of your 403(b) that you get to keep if you quit. Your unvested balance will go back to your employer when you quit wheth...
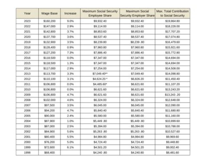
For the 2019 and 2020 tax years, single filers with a combined income of $25,000 to $34,000 must pay income taxes on up to 50% of their Social Security be...
Minimum Gross Income Thresholds for Taxes Single under age 65 $12,400 Married filing separately, any age $5 Head of household under age 65 $18,650 Head of...
If you run your small business as an LLC, S-corp, sole proprietorship, or partnership, losses are generally passed through the business to your personal t...